I want to know how God created this world. I am not interested in this or that phenomenon, in the spectrum of this or that element. I want to know His thoughts; the rest are details.
— Albert Einstein

Einstein couldn't stand it. Back then, we only knew about two forces—gravity and electromagnetism—but even that bothered him. The idea of two completely separate forces governing the universe seemed messy, inelegant. Einstein believed nature had to be simpler than that.
So he spent the last thirty years of his life hunting for what he called a "unified field theory." He was convinced that gravity and electromagnetism weren't really two different things—they had to be different faces of some deeper, more fundamental force. He never found it, but the search consumed him until the day he died.
The Two Pillars
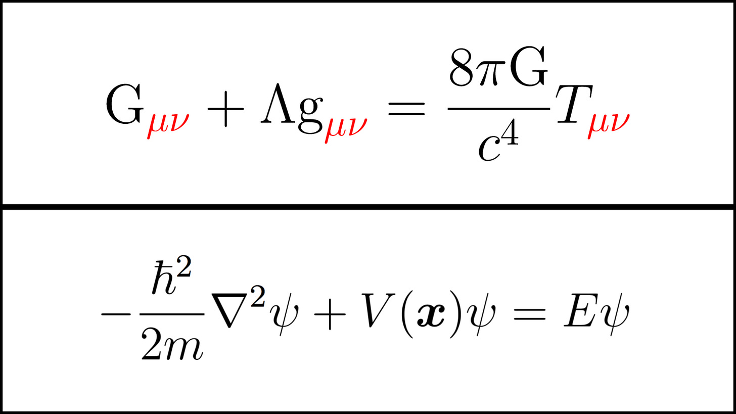
Modern physics stands on two pillars that can't stand each other. General relativity rules the cosmos—stars, galaxies, the vast dance of space and time. Quantum mechanics governs the atomic world—electrons, photons, and the bizarre behavior of the very small. Each theory works brilliantly in its own domain. But put them together and they clash like oil and water.

Here's the thing: most of the time, physicists can avoid this ugly truth. They study either tiny, light things like atoms, or massive, heavy things like stars—but rarely both at once. So they can use quantum mechanics for the small stuff, general relativity for the big stuff, and pretend the other doesn't exist.
It's like having two roommates who hate each other. As long as they stay in separate rooms, everything's fine.
When Worlds Collide
The universe has its extremes:
At a black hole's center, massive amounts of matter collapse to nearly nothing.

During the Big Bang, everything we see today exploded from something smaller than an atom.

These places are both tiny and incredibly dense—exactly where quantum mechanics and general relativity should both apply.
The problem is, when you try to use both theories together, the math goes haywire. You end up with probabilities that aren't 30% or 85%, but infinity. An infinite probability? That's not just wrong—it's meaningless.
In his Nobel lecture—Fundamental ideas and problems of the theory of relativity—delivered to the Nordic Assembly of Naturalists at Gothenburg on July 11, 1923, Einstein emphasized that
The mind striving after unification of the theory cannot be satisfied that two fields should exist which, by their nature, are quite independent.
So are we stuck with a split-personality universe? One set of rules for big things, another for small?
Superstring theory says no. In this framework, general relativity and quantum mechanics don't just coexist—they need each other. Their marriage isn't forced; it's natural, even inevitable.
Zooming into Spacetime
Let's take a journey into the fabric of space itself. Picture zooming in on a patch of empty space, magnifying it over and over, like looking through an increasingly powerful microscope. The figure below shows what happens at each level.

At first, nothing surprising. The first few magnifications show space looking pretty much the same—smooth and flat, just like you'd expect. Classical physics would tell you this boring picture continues forever, no matter how far you zoom in.
But quantum mechanics crashes the party. Here's where things get wild.
You see, everything—and I mean everything—gets hit by quantum fluctuations thanks to the uncertainty principle. Even gravity can't escape. Sure, empty space has zero gravitational field on average, but that "average" hides a secret: the actual value is constantly jumping up and down like a hyperactive kid on a trampoline. And the smaller the region you look at, the more violent these fluctuations become.
Now, Planck's constant (which controls how strong quantum effects are) is incredibly tiny, and gravity is inherently weak. When you combine these two facts, you get something called the Planck length—a distance so small it makes atoms look gigantic. We're talking about a millionth of a billionth of a billionth of a billionth of a centimeter. That's the fifth level in the figure, where space stops pretending to be well-behaved.
John Wheeler had the perfect name for this chaos: quantum foam. At these ultramicroscopic scales, space becomes a seething, bubbling mess of quantum fluctuations. The smooth geometry that general relativity depends on? It's completely shredded by the quantum world's violent tantrums.
The Music of Strings
String theory claims our universe has far more dimensions than we can see—dimensions curled up tight within the fabric of space itself.

Here's the key insight:
If we could zoom in on particles with impossible precision, we'd discover they're not points at all. Each one is actually a tiny loop, like an infinitely thin rubber band. These vibrating filaments are what physicists call strings.
Think of a violin. Different vibrations produce different notes. Strings work the same way, except instead of making music, each vibration pattern creates a different particle. An electron is a string vibrating one way, a down quark another way. All those seemingly random particle properties from our experiments are just different songs the same fundamental string can play.
The forces work this way, too. Gravity, electromagnetism—they're all vibration patterns of these microscopic loops. Everything in the universe, matter and forces alike, comes down to how strings oscillate.

And here's the beautiful part:
This simple switch from point particles to vibrating strings solves the clash between quantum mechanics and general relativity. It also opens the door to an even deeper idea that strings don’t just live in spacetime—they may actually create it.
In everyday physics, we think of space and time as the stage on which particles move around. But string theory flips the script. The very fabric of spacetime—the curves, the geometry, the arena where everything plays out—might itself be a by-product of strings and how they interact.
In other words, we’re not just placing particles inside spacetime like actors on a stage. We might be watching the stage itself emerge from something deeper.
Dreams of a Final Theory
The most incomprehensible thing about the universe is that it is comprehensible.
— Albert Einstein

String theory gets some pretty big names thrown around: "theory of everything," the "ultimate theory," the "final theory." These aren't just marketing terms—they're trying to capture something profound. We're talking about the deepest layer of reality, the theory that explains everything else but doesn't need explaining itself.
But here's where things get messy. Some people point to chaos theory and say,
Hold on—when things get complicated enough, totally new kinds of behavior emerge. Sure, you might understand how an electron behaves, but good luck using that knowledge to predict a tornado.
Most physicists agree that's true. The fight is about what this really means.
Is the complexity we see in tornadoes, ecosystems, and human brains revealing genuinely new physical principles? Or is it all just the same old fundamental rules, playing out in incredibly complicated ways among trillions of particles? It's like asking whether a symphony is really "just" vibrating air molecules, or something more

Here's what almost everyone agrees on: finding the theory of everything wouldn't put psychologists, biologists, or even most physicists out of business. We'd still need to figure out how consciousness works, why life emerged, and what makes the climate tick. The T.O.E. wouldn't solve these puzzles—it would just give us the most solid possible foundation to build on. Think of it as the ultimate basement for the house of science. It will not be an end, but a beginning.
In the final pages of A Brief History of Time (1988), Stephen Hawking reflects on the pursuit of a unified theory:
If we do discover a complete theory, it should in time be understandable in broad principle by everyone, not just a few scientists. Then we shall all, philosophers, scientists, and just ordinary people, be able to take part in the discussion of the question of why it is that we and the universe exist. If we find the answer to that, it would be the ultimate triumph of human reason—for then we would know the mind of God.
A Question For You…
Do you think the universe really has a single underlying principle, or is nature too messy for one “final theory”? Let me know in the comments.
So, where do we stand today?
But there's a catch. String theory is so mathematically brutal that nobody knows what the exact equations actually look like. We're working with approximate equations, and even those are only partially solved. It's like trying to understand a symphony when you can only hear scattered notes through a wall.
And here's a question that bugged physicists for years: why strings? What makes these little loops so special? Why not tiny frisbees? Or microscopic blobs? Or some weird combination of all these shapes?
Turns out, that was exactly the right question to ask. The latest discoveries reveal that these additional shapes indeed play crucial roles in string theory. They've revealed that what we call "string theory" is really just one piece of something much bigger and more mysterious, something physicists call M-theory. The "M" could stand for "membrane," "matrix," or "mystery"—nobody's quite sure yet.
So far, we’ve only peeked at the surface of string theory—the “trailer” to the full movie. The real story begins when we dive into the explanation of its mathematics, its extra dimensions, and its strange but inevitable consequences. And that’s where we’re headed next.
References:
Ch 1: Tied Up with String, The Elegant Universe, Brian Greene
Ch 5: The Need for a New Theory: General Relativity vs. Quantum Mechanics, The Elegant Universe, Brian Greene
You Can Also Read:
"Beam Us Up, Scotty" - Is Teleportation real?
The secret impresses no one. The trick you use it for is everything. - Alfred Bordon, The Prestige





This does a good job of explaining why the clash matters without overselling certainty. The roommate metaphor and the move from smooth spacetime to quantum foam make an abstract problem feel concrete without dumbing it down.
What lands most is the restraint at the end: string theory as scaffolding, not salvation. Framing a “final theory” as a foundation rather than an answer keeps the ambition intact while respecting the messiness that actually defines science.
A profound framing. The real crisis at the Planck scale isn't just mathematical, it's the failure of geometry itself. String theory’s key insight is often inverted: gravity isn’t added, but forced by the consistency of a quantum theory of extended objects.
If M-theory’s landscape is real, does that mean nature is messy? Or does it point to a deeper principle: that mathematical consistency is the only law, and our universe is but one possible expression of its syntax?
Not merely physics but a search for reality’s axiomatic foundation.